Đề thi thử 002: vật lý lớp 12 ôn thi THPT Quốc gia (có giải chi tiết)
Đề thi thử vật lý quốc gia, vật lý phổ thông đề số 003
Thời gian làm bài: 90 phút
-
Một con lắc lò xo gồm lò xo nhẹ và vật nhỏ khối lượng 100g đang dao động điều hòa theo phương ngang, mốc tính thế năng tại vị trí cân bằng. Từ thời điểm t1 = 0 đến t2 =π48π48 s, động năng của con lắc tăng từ 0,096 J đến giá trị cực đại rồi giảm về 0,064 J. Ở thời điểm t2, thế năng của con lắc bằng 0,064 J. Biên độ dao động của con lắc là
-
Tại thời điểm t2 Wđ = Wt => Cơ năng của hệ W = Wđ + Wt = 0,128 J
Tại t1 = 0 Wt1 = W – Wđ1 = 0,032J = W4W4 => x1 = ± A2A2
Tại t2 = π48π48 => x2 = ±A√22A22 Thời gian vật đi từ x1 = A2A2 đến gốc tọa độ rồi đến x2 = –A√22A22
t = T12T12 + T8T8 = 5T245T24 = t2 – t1 = π48π48 => T = 110110(s) => Tần số góc của dao động ω = 2πT2πT = 20 rad.s
W = mv2max2mvmax22 = mω2A22mω2A22 => A =√2Wmω22Wmω2 = √2.0,1280,1.4002.0,1280,1.400 = 0,08 m = 8 cm
2/Đặt điện áp xoay chiều ổn định vào hai đầu đoạn mạch AB mắc nối tiếp (hình vẽ). Biết tụ điện có dung kháng ZC, cuộn cảm thuần có cảm kháng ZL và 3ZL = 2ZC. Đồ thị biểu diễn sự phụ thuộc vào thời gian của điện áp giữa hai đầu đoạn mạch AN và điện áp giữa hai đầu đoạn mạch MB như hình vẽ. Điệp áp hiệu dụng giữa hai điểm M và N là
Đề thi thử 002: vật lý lớp 12 ôn thi THPT Quốc gia (có giải chi tiết)
3/Khi nói về tia hồng ngoại và tia tử ngoại, phát biểu nào sau đây đúng?

Ta có T = 2.10-2s => ω = 100π rad/s
uAN = 200cos100πt (V) uMB = 100cos(100πt + π3π3) (V)
Từ 3ZL = 2ZC -=> UC = 1,5UL
Vẽ giãn đồ véc tơ như hình vẽ: UAN = 100√2(V); UMB = 50√2(V)
(UL + UC)2 = U2AN + U2MB – 2UANUMBcosπ3π3
=> UL + UC = 50√6(V) => UL = 20√6(V)
Theo DL hàm số sin:
50√6sinπ3506sinπ3 = UANsinαUANsinα = 100√2sinα1002sinα => sinα = 1 => α =π2π2
Do đó UMN = UX = √U2MB+U2LUMB2+UL2 = √(50√2)2+(20√6)2(502)2+(206)2 = 86,02V
4/Đặt điện áp u=180√2cosωtu=1802cosωt (V) (với ω không đổi) vào hai đầu đoạn mạch AB (hình vẽ). R là điện trở thuần, tụ điện có điện dung C, cuộn cảm thuần có độ tự cảm L thay đổi được. Điện áp hiệu dụng ở hai đầu đoạn mạch MB và độ lớn góc lệch pha của cường độ dòng điện so với điện áp u khi L=L1 là U và φ1, còn khi L = L2thì tương ứng là U và φ2. Biết φ1 + φ2 = 900. Giá trị U bằng 
-

5/Một sóng cơ truyền dọc theo một sợi dây đàn hồi rất dài với biên độ 6 mm. Tại một thời điểm, hai phần tử trên dây cùng lệch khỏi vị trí cân bằng 3 mm, chuyển động ngược chiều và cách nhau một khoảng ngắn nhất là 8 cm (tính theo phương truyền sóng). Gọi δ là tỉ số của tốc độ dao động cực đại của một phần tử trên dây với tốc độ truyền sóng. δ gần giá trị nào nhất sau đây?
-
Hai phần tử gần nhau nhất có li độ A2A2
chuyển động ngược chiều nhau cách nhau d = λ3λ3 = 8 cm
=> λ = 24 cm. Tốc độ truyền sóng trên dây v = λTλT
Tốc độ dao động cực đại của phần tử trên dây vmax = ωA = 2πT2πTA
δ = vmaxvvmaxv = 2πAλ2πAλ= 2..3,14..0,6242..3,14..0,624 = 0,157.
δ gần nhất giá trị 0,179.
6/Để ước lượng độ sâu của một giếng cạn nước, một người dùng đồng hồ bấm giây, ghé sát tai vào miệng giếng và thả một hòn đá rơi tự do từ miệng giếng; sau 3 s thì người đó nghe thấy tiếng hòn đá đập vào đáy giếng. Giả sử tốc độ truyền âm trong không khí là 330 m/s, lấy g = 9,9 m/s2. Độ sâu ước lượng của giếng là
-
Gọi h là độ sâu của giếng: Thời gian hòn đá rơi t1 :h = gt212gt122
và h = vt2 = v(3- t1)
gt212gt122 = v( 3- t1) =>
9,9t21 + 660t1 – 1980 = 0 => t1 = 2,876s và
h = gt212gt122 = 40,94 m = 41 m.
7/Một vật nhỏ dao động điều hòa theo một quỹ đạo thẳng dài 14 cm với chu kì 1 s. Từ thời điểm vật qua vị trí có li độ 3,5 cm theo chiều dương đến khi gia tốc của vật đạt giá trị cực tiểu lần thứ hai, vật có tốc độ trung bình là
-
8/Một học sinh làm thực hành xác định số vòng dây của hai máy biến áp lí tưởng A và B có các duộn dây với số vòng dây (là số nguyên) lần lượt là N1A, N2A, N1B, N2B. Biết N2A = kN1A; N2B=2kN1B; k > 1; N1A + N2A + N1B + N2B = 3100 vòng và trong bốn cuộn dây có hai cuộn có số vòng dây đều bằng N. Dùng kết hợp hai máy biến áp này thì có thể tăng điện áp hiệu dụng U thành 18U hoặc 2U. Số vòng dây N là
-
Biên độ dao động A = L/2 = 7 cm . Gia tốc cực tiểu khi vật ở vị trí biên dương
Thời gian từ khi chất điểm đi từ x = 3,5 cm theo chiều (+) đến khi gia tôc có giá trị cực tiểu lần thứ 2 là
t = T6T6 + T = 7T67T6 = 7676s
Quãng đường vật đi được trong khoảng thời gian đó là S = A2A2 + 4A = 31,5 cm
Tốc độ trung bình là v = StSt = 31,57.631,57.6 = 27 cm/s.
N2AN1AN2AN1A= k; N2BN1BN2BN1B = 2k. Có 2 khả năng:
1/ N2A = N1B = N => N1A = NkNk và N2B = 2kN => N1A + N2A + N1B + N2B = 2N + NkNk + 2kN = 3100
=> (2k2 + 2k + 1)N = 3100k
Khi U1A = U => U2A = kU; U1B = U2A = kU => U2B = 2kU1B = 2k2U = 18U
=> k = 3=> N = 372 vòng
Nếu U2B = 2U => k = 1
2/ N1A = N2B = N => N1B = N2kN2k và N2A = kN => N1A + N2A + N1B + N2B = 2N + N2kN2k + kN = 3100
=> (2k2 + 4k + 1)N = 3100.2k
=> U2B = 2kU1B = 2k2U = 18U=> k = 3=> N = 600 vòng
9/Trong một thí nghiệm giao thoa sóng nước, hai nguồn S1 và S2 cách nhau 16 cm, dao động theo phương vuông góc với mặt nước, cùng biên độ, cùng pha, cùng tần số 80 Hz. Tốc độ truyền sóng trên mặt nước là 40 cm/s. Ở mặt nước, gọi d là đường trung trực của đoạn S1S2. Trên d, điểm M ở cách S1 10 cm; điểm N dao động cùng pha với M và gần M nhất sẽ cách M một đoạn có giá trị gần giá trị nào nhất sau đây?
-
Bước sóng λ = v/f = 0,5 cm
Giả sử u1 = u2 = acosωt
uM = 2acos(ωt – 2π.100,52π.100,5) = 2acos(ωt – 40π)
M dao động cùng pha với nguồn
uN = 2acos(ωt – 2π.dN0,52π.dN0,5) = 2acos(ωt – 4πdN)
uN dao động cùng pha với uM khi:
4πdN = 2kπ => dN = k2k2 với k nguyên dương
Khi N º M thì k = 20; OM = 6 cm
=> ON = √d2N–OS21dN2–OS12 = √k24–64k24–64
Điểm N gần M nhất khi k = 19 hoặc k = 21
Khi k = 19 ON = √1924–641924–64 = 5,12 cm
Khi k = 21 ON =√2124–642124–64 = 6,8 cm
Do đó ta thấy MNmin n khi k = 21 và MNmin = 6,8 – 6 = 0,8 cm = 8 mm.
10/Theo mẫu Bo về nguyên tử hiđrô, nếu lực tương tác tĩnh điện giữa êlectron và hạt nhân khi êlectron chuyển động trên quỹ đạo dừng L là F thì khi êlectron chuyển động trên quỹ đạo dừng N, lực này sẽ là
-
F = ke2r2e2r2 => FNFLFNFL = r2Lr2NrL2rN2
Với rL = 4r0 ; rN = 16r0 => FNFLFNFL = 116116 => FN = F16F16
11/Trong môi trường đẳng hướng và không hấp thụ âm, có 3 điểm thẳng hàng theo đúng thứ tự A; B; C với AB = 100 m, AC = 250 m. Khi đặt tại A một nguồn điểm phát âm công suất P thì mức cường độ âm tại B là 100 dB. Bỏ nguồn âm tại A, đặt tại B một nguồn điểm phát âm công suất 2P thì mức cường độ âm tại A và C là
-
Khi nguồn âm đặt tai ALB = lgIBI0IBI0 = 10 với IB = P4π.AB2P4π.AB2 = 1010I0
Khi nguồn âm đặt tai B BC = 150m = 1,5AB
LA = lgIAI0IAI0 Với IA = 2P4π.AB22P4π.AB2 = 2.1010I0=> LA = lgIAI0IAI0 = lg2.1010 = 10,3 B = 103 dB
LC = lgICI0ICI0 Với IC =2P4π.BC22P4π.BC2 = 2P4π.(1,5AB)22P4π.(1,5AB)2 = 2P4π.2,25AB22P4π.2,25AB2 = 22,2522,25.1010I0
=> LC = lgICI0ICI0 = lg0,89.1010 = 9,95 B = 99,5 dB
12/Một vật có khối lượng 50 g, dao động điều hòa với biên độ 4 cm và tần số góc 3 rad/s. Động năng cực đại của vật là
-
Wđmax = mv2max2mvmax22 = mω2A22mω2A22 = 0,05.9.0,04220,05.9.0,0422= 3,6.10-4J .
13/Trong chân không, một ánh sáng có bước sóng là 0,60 mm. Năng lượng của phôtôn ánh sáng này bằng
-
ε = hcλhcλ = 2,07 eV.
14/Các thao tác cơ bản khi sử dụng đồng hồ đa năng hiện số (hình vẽ) để đo điện áp xoay chiều cỡ 120 V gồm:
a/ Nhấn nút ON OFF để bật nguồn của đồng hồ.b/Cho hai đầu đo của hai dây đo tiếp xúc với hai đầu đoạn mạch cần đo điện áp.
c/ Vặn đầu đánh dấu của núm xoay tới chấm có ghi 200, trong vùng ACV.
d/ Cắm hai đầu nối của hai dây đo vào hai ổ COM và VW.
e/ Chờ cho các chữ số ổn định, đọc trị số của điện áp.
f/ Kết thúc các thao tác đo, nhấn nút ON OFF để tắt nguồn của đồng hồ.
Thứ tự đúng các thao tác là
-
15/Một động cơ điện tiêu thụ công suất điện 110 W, sinh ra công suất cơ học bằng 88 W. Tỉ số của công suất cơ học với công suất hao phí ở động cơ bằng
-
P = PC + Php => PCPhpPCPhp = PCP–PCPCP–PC = 88228822 = 4
16/Một vật dao động cưỡng bức dưới tác dụng của một ngoại lực biến thiên điều hòa với tần số f. Chu kì dao động của vật là
-
17/Hai mạch dao động điện từ LC lí tưởng đang có dao động điện từ tự do với các cường độ dòng điện tức thời trong hai mạch là và được biểu diễn như hình vẽ. Tổng điện tích của hai tụ điện trong hai mạch ở cùng một thời điểm có giá trị lớn nhất bằng

-
Chu kỳ T = 10-3s; ω = 2πT2πT = 2000π rad/s
Ta có: i1 = 8.10-3cos(2000πt – π2π2) (A); i2 = 6.10-3cos(2000πt + π) (A)
Dòng điện qua L biến thiên điều hòa sớm pha hơn điện tích trên tụ điện C góc π2π2
Q0 = I0ωI0ω
q1 = 8.10–32000π8.10–32000πcos(2000πt – π) (C) ;
q2 = 6.10–32000π6.10–32000πcos(2000πt +π2π2) (C)
q = q1 + q2 = Q0 cos(2000πt +φ)
Q20 = Q201+ Q202
=> Q0 = 10.10–32000π10.10–32000π(C) = 5.π5.πμC.
18/Bắn hạt α vào hạt nhân nguyên tử nhôm đang đứng yên gây ra phản ứng: 42He+2713Al→3015P+10n24He+1327Al→1530P+01n. Biết phản ứng thu năng lượng là 2,70 MeV; giả sử hai hạt tạo thành bay ra với cùng vận tốc và phản ứng không kèm bức xạ γ. Lấy khối lượng của các hạt tính theo đơn vị u có giá trị bằng số khối của chúng. Động năng của hạt α là
-
Theo ĐL bảo toàn động lượng Pα = Pp + Pn
=> P2α = (Pp + Pn)2
=> mαKα = mPKP + mnKn + 4√mPKPmnKnmPKPmnKn
4Kα = 30KP + Kn + 4√30KPKn30KPKn;
KPKnKPKn = mPmnmPmn = 30 => Kp = 30Kn
4Kα = 901Kn + 120Kn= 1021Kn
Theo ĐL bảo toàn năng lượng Kα = Kp + Kn + 2,70 = 31Kn + 2,7
Kα = 31Kn + 2,7 = 31.4Kα10214Kα1021 + 2,7 => Kα = 3,10 MeV.
19/Trong phản ứng hạt nhân không có sự bảo toàn
20/Trong chân không, các bức xạ có bước sóng tăng dần theo thứ tự đúng là
21/Trong chân không, bước sóng ánh sáng lục bằng
-
Ánh sáng lục nằm trong vùng ánh sáng nhìn thấy
22/Một con lắc lò xo treo vào một điểm cố định, dao động điều hòa theo phương thẳng đứng với chu kì 1,2 s. Trong một chu kì, nếu tỉ số của thời gian lò xo giãn với thời gian lò xo nén bằng 2 thì thời gian mà lực đàn hồi ngược chiều lực kéo về là
-
Thời gian lò xo giãn t1 khi vật đi từ li độ x = A đến li độ x = – Δl và ngược lại;
thời gian lò xo bị nén t2
khi vật đi từ li độ x = – Δl đến biên – A và ngược lại . t1 = 2t2 => Δl =A2A2
Thời gian t lực đàn hồi ngược chiều lực kéo về ứng với thời gian lò xo giãn khi vật đi từ x = – Δl đến VTCB và ngược lại.: t = 2.T12T12= T6T6 = 0,2 s.
23/Trong thí nghiệm Y-âng về giao thoa ánh sáng, khoảng cách giữa hai khe là 1 mm, khoảng cách từ mặt phẳng chứa hai khe đến màn quan sát là 2 m. Nguồn sáng đơn sắc có bước sóng 0,45 . Khoảng vân giao thoa trên màn bằng
-
i = λDaλDa = 0,45.10–6.210–30,45.10–6.210–3 = 0,9 mm .
24/Đặt điện áp u=U0cos(100πt+π4)(V)u=U0cos(100πt+π4)(V) vào hai đầu đoạn mạch chỉ có tụ điện thì cường độ dòng điện trong mạch là i=I0cos(100πt+φ)(A)i=I0cos(100πt+φ)(A). Giá trị của φ bằng
-
φU – φI = –π2π2φ = φI = φU + π2π2 = π4π4 + π2π2 = 3π43π425/Gọi nđ, nt và nv lần lượt là chiết suất của một môi trường trong suốt đối với các ánh sáng đơn sắc đỏ, tím và vàng. Sắp xếp nào sau đây là đúng?
-
Trong quang phổ của ánh sáng trắng chiết suất của môi trường trong suốt giảm dần từ màu đỏ đến màu tím
nđ< nv< nt
26/Một đoạn mạch điện xoay chiều gồm điện trở thuần R mắc nối tiếp với một cuộn cảm thuần có cảm kháng với giá trị bằng R. Độ lệch pha của điện áp giữa hai đầu đoạn mạch với cường độ dòng điện trong mạch bằngLựa chọn của bạn không đúng
tanφ = ZLRZLR = 1 => φ = π/427/Hiện tượng chùm ánh sáng trắng đi qua lăng kính, bị phân tách thành các chùm sáng đơn sắc là hiện tượng
-
28/Chùm ánh sáng laze không được ứng dụng
29/Tia α
30/Đặt điện áp u=U√2cosωt(V)u=U2cosωt(V)(với U và không đổi) vào hai đầu đoạn mạch mắc nối tiếp gồm đèn sợi đốt có ghi 220V – 100W, cuộn cảm thuần có độ tự cảm L và tụ điện có điện dung C. Khi đó đèn sáng đúng công suất định mức. Nếu nối tắt hai bản tụ điện thì đèn chỉ sáng với công suất bằng 50W. Trong hai trường hợp, coi điện trở của đèn như nhau, bỏ qua độ tự cảm của đèn. Dung kháng của tụ điện không thể là giá trị nào trong các giá trị sau?
-
P1 = I21R = 100W, P2 = I22R = 50W => I1 = I2 => Z22 = 2Z21
R2 + Z2L = 2R2 + 2(ZL – ZC)2 = 2R2 + 2Z2L + 2Z2C – 4ZLZC
=> 2Z2C – 4ZLZC + R2 + Z2L = 0
Z2L – 4ZLZC + R2 +2Z2C = 0 . Điều kiện để phương trình có nghiệm
Δ’ = 4Z2C – R2 – Z2C = 3Z2C – R2 ≥ 0 => ZC ≥ R√3R3 = 484√34843 = 279,4Ω.
31/Một tụ điện có điện dung C tích điện Q0. Nếu nối tụ điện với cuộn cảm thuần có độ tự cảm L1 hoặc với cuộn cảm thuần có độ tự cảm L2 thì trong mạch có dao động điện từ tự do với cường độ dòng điện cực đại là 20mA hoặc 10 mA. Nếu nối tụ điện với cuộn cảm thuần có độ tự cảm L3=(9L1+4L2) thì trong mạch có dao động điện từ tự do với cường độ dòng điện cực đại là
-
Q0 = I01ω1I01ω1 = I02ω2I02ω2 = I03ω3I03ω3
I01I02I01I02 =ω1ω2ω1ω2 = √L2L1L2L1 = 2 => L2 = 4L1.=> L3 = 9L1 + 4L2 = 25L1
I01I03I01I03 =ω1ω3ω1ω3 =√L3L1L3L1 = 5 => I03 = I015I015 = 4mA
32/Trong các hạt nhân nguyên tử: 42He;5626Fe;23892U24He;2656Fe;92238U và 23090Th90230Th, hạt nhân bền vững nhất là
33/Trên một sợi dây đàn hồi đang có sóng dừng ổn định với khoảng cách giữa hai nút sóng liên tiếp là 6 cm. Trên dây có những phần tử sóng dao động với tần số 5 Hz và biên độ lớn nhất là 3 cm. Gọi N là vị trí của một nút sóng; C và D là hai phần tử trên dây ở hai bên của N và có vị trí cân bằng cách N lần lượt là 10,5 cm và 7 cm. Tại thời điểm t1, phần tử C có li độ 1,5 cm và đang hướng về vị trí cân bằng. Vào thời điểm t2=t1+7940st2=t1+7940s, phần tử D có li độ là
-

Bước sóng λ = 12 cm. Biên độ của nguồn sóng a = 1,5 cm
Phương trình sóng dừng tại điêm M cách nút N một khoảng d :
u=2acos(2πdλ+π2)cos(ωt–π2)u=2acos(2πdλ+π2)cos(ωt–π2)
Biên độ aC = 2acos(2πdλ2πdλ+π2π2) = 3cos(2π.10,5122π.10,512+π2π2) = 3√22322cm
aD = 2acos(2πdλ2πdλ+π2π2) = 3cos(5π35π3) = 3232 cm
Phần tử C và D ở hai bó sóng đối xứng nhau qua nút N nên chúng dao động ngược pha nhau
Tại thời điểm t1 uc = 3√22322cos(ωt – π2π2) = 1,5 cm => cos(ωt – π2π2) =√2222
Khi đó uD = –3232cos(ωt – π2π2) = –3√24324cm = – aD√22aD22 và đang hướng về vị trí cân bằng
Vào thời điểm t2=t1+7940st2=t1+7940s = t1 + 79T879T8 = t1 + 9T +7T87T8
Khi đó uD = –3232cos(ωt2 – π2π2) = – 1.5 cm.
34/Một mạch dao động LC lí tưởng đang có dao động điện từ tự do với điện tích cực đại của tụ điện là Q0 và cường độ dòng điện cực đại trong mạch là I0. Dao động điện từ tự do trong mạch có chu kì là
-
Q202CQ022C=LI202LI022 => LC = Q20I20Q02I02
T = 2π√LCLC = 2πQ0I02πQ0I0
35/Một con lắc lò xo dao động điều hòa theo phương ngang với tần số góc ω. Vật nhỏ của con lắc có khối lượng 100 g. Tại thời điểm t = 0, vật nhỏ qua vị trí cân bằng theo chiều dương. Tại thời điểm t = 0,95 s, vận tốc v và li độ x của vật nhỏ thỏa mãn v = lần thứ 5. Lấy . Độ cứng của lò xo là
-

Phương trình dao động của vật có dang : x = Acos(ωt – π2π2)
Tại thời điểm t = 0,95s
v = ± ω√A2–x2A2–x2= – ωx
=> x = ±A√22A22.
Trong một chu kỳ vật qua vị trí có v = – ωx hai lần .
Lần thứ 5 vật qua vị trí có v = – ωx tai thời điểmt = 2T + t1
với t1 là khoảng thời gian vật đi từ VTCB đến biên A
và quay lại vị trí x =A√22A22
t1 = 3T83T8. Do đó t =19T819T8 = 0,95 => T= 0,4 s
T = 2πω2πω => ω = 5π = √kmkm
=> k = 25π2m = 25 N/m
36/Một con lắc đơn dao động điều hòa với biên độ góc 0,1 rad; tần số góc 10 rad/s và pha ban đầu 0,79 rad. Phương trình dao động của con lắc là
-
Phương trình có dạng tổng quát: α = α0cos(ωt + φ) = 0,1cos(10t + 0,79)
37/Đồng vị là những nguyên tử mà hạt nhân có cùng số
38/Trong âm nhạc, khoảng cách giữa hai nốt nhạc trong một quãng được tính bằng cung và nửa cung (nc). Mỗiquãng tám được chia thành 12 nc. Hai nốt nhạc cách nhau nửa cung thì hai âm (cao, thấp) tương ứng với hai nốt nhạc này có tần số thỏa mãn . Tập hợp tất cả các âm trong một quãng tám gọi là một gam (âm giai). Xét mộtgam với khoảng cách từ nốt Đồ đến các nốt tiếp theo Rê, Mi, Fa, Sol, La, Si, Đô tương ứng là 2 nc, 4 nc, 5 nc, 7 nc , 9 nc, 11 nc, 12 nc. Trong gam này, nếu âm ứng với nốt La có tần số 440 Hz thì âm ứng với nốt Sol có tần số là
-
Khoảng cách từ nốt Sol đến nôt La là 2 nc
f12LafLa12= 2.2f12SolfSol12
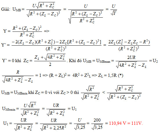
=> fSol = fLa12√4fLa412 = 44012√4440412 = 391,9954 = 392 Hz
39/Đặt điện áp xoay chiều có giá trị hiệu dụng 200 V và tần số không thay đổi vào hai đầu đoạn mạch AB (hình vẽ). Cuộn cảm thuần có độ tự cảm L xác định; R = 200 ; tụ điện có điện dung C thay đổi được. Điều chỉnh điện dung C để điện áp hiệu dụng giữa hai đầu đoạn mạch MB đạt giá trị cực tiểu là U1 và giá trị cực đại là U2 = 400 V. Giá trị của U1 là

-
40/Cho hai dao động điều hòa cùng phương với các phương trình lần lượt là x1=A1cos(ωt+0,35)(cm)x1=A1cos(ωt+0,35)(cm) và x2=A2cos(ωt–1,57)(cm)x2=A2cos(ωt–1,57)(cm). Dao động tổng hợp của hai dao động này có phương trình là x=20cos(ωt+φ)(cm)x=20cos(ωt+φ)(cm). Giá trị cực đại của (A1 + A2) gần giá trị nào nhất sau đây?
-

φ1 = 0,35 rad = 200; φ2 = -1,58 rad = – 900
Vẽ giãn đồ véc tơ như hình vẽ
α = π2π2 + φ
b = 1800 – φ1– φ2 = 700
Áp dụng ĐL hàm số sin
A1sinαA1sinα = A2sin(ϕ1–ϕ)A2sin(ϕ1–ϕ) = AsinβAsinβ = 20sin70020sin700 = 21,3
A1 = 21,3sinα = 21.3cosφ
A2 = 21,3sin(200 – φ)
A1 + A2 = 21,3[cosφ + sin(200 – φ)] = 21,3[cosφ + cos(700 + φ)] = 42,6cos350cos(φ + 350)
(A1 + A2)max = 42,6cos350 = 34,896 cm = 35cm.
41/Đặt điện áp u=U√2cos2πftu=U2cos2πft (f thay đổi được, U tỉ lệ thuận với f) vào hai đầu đoạn mạch AB gồm đoạn mạch AM mắc nối tiếp với đoạn mạch MB. Đoạn mạch AM gồm điện trở thuần R mắc nối tiếp với tụ điện có điện dung C, đoạn mạch MB chỉ có cuộn cảm thuần có độ tự cảm L. Biết 2L > R2C. Khi f = 60 Hz hoặc f = 90 Hz thì cường độ dòng điện hiệu dụng trong mạch có cùng giá trị. Khi f = 30 Hz hoặc f = 120 Hz thì điện áp hiệu dụng hai đầu tụ điện có cùng giá trị. Khi f = f1 thì điện áp ở hai đầu đoạn mạch MB lệch pha một góc 1350 so với điện áp ở hai đầu đoạn mạch AM. Giá trị của f1 bằng.
-
I1 = I2 => ω‘1√R2+(ω‘1L–1ω‘1C)2ω‘1R2+(ω‘1L–1ω‘1C)2 = ω‘2√R2+(ω‘2L–1ω‘2C)2ω‘2R2+(ω‘2L–1ω‘2C)2
ω’21[R2 +(ω’2L – 1ω‘2C1ω‘2C)2] = ω’22[R2 +(ω’1L – 1ω‘1C1ω‘1C)2]
=> 1ω‘211ω‘12 + 1ω‘221ω‘22 = 2LC – R2C2
2LC – R2C2 = 14π214π2(16021602 + 19021902) (*)
UC = UZC√R2+(ωL–1ωC)2UZCR2+(ωL–1ωC)2;
UC3 = UC4 => ω3ZC3√R2+(ω3L–1ω3C)2ω3ZC3R2+(ω3L–1ω3C)2 =ω4ZC4√R2+(ω4L–1ω42C)2ω4ZC4R2+(ω4L–1ω42C)2
R2 + (ω3L – 1ω3C1ω3C)2 = R2 + (ω4L – 1ω4C1ω4C)2 =>(ω3L – 1ω3C1ω3C) = – (ω4L – 1ω4C1ω4C)
(ω3 + ω4)L = 1ω3C1ω3C + 1ω4C1ω4C => ω3ω4 = 1LC1LC=> 1LC1LC = 4π2.30.120 (**)
Khi f = f1 ta có giãn đồ vec tơ như hình vẽ

ZC1 = R => 12πf1C12πf1C = R => 1f11f1 = 2πRC (***)
Thế (**) vào (*)
=> RC =12π12π√51805180
1f11f1 = 2πRC => f1 = 80,5 Hz
42/Trong mạch dao động LC lí tưởng đang có dao động điện từ tự do, điện tích của một bản tụ điện và cường độ dòng điện qua cuộn cảm thuần biến thiên điều hòa theo thời gian
43/Một vật dao động điều hòa với phương trình . Quãng đường vật đi được trong một chu kì là
-
44/Một chất điểm dao động điều hòa với phương trình x=6cosπtx=6cosπt (x tính bằng cm, t tính bằng s). Phát biểu nào sau đây đúng?
-
vmax = 6π = 18,84 cm/s
45/Số nuclôn của hạt nhân 23090Th90230Th nhiều hơn số nuclôn của hạt nhân 21084Po84210Po là
-
230 – 210 = 20
46/Công thoát êlectron của một kim loại là 4,14 eV. Giới hạn quang điện của kim loại này là
-
λ0 = hcAhcA = 6,625.10–343.1084,14.1,6.10–196,625.10–343.1084,14.1,6.10–19 = 0,3.10-6m = 0,3 μm
47/Dòng điện có cường độ i=2√2cos100πti=22cos100πt(A) chạy qua điện trở thuần 100 . Trong 30 giây, nhiệt lượng tỏa ra trên điện trở là
-
Q = Pt = I2Rt = 12000 J = 12 kJ
48/Điện áp u=141√2cos100πtu=1412cos100πt(V) có giá trị hiệu dụng bằng
49/Một sóng cơ truyền trên một sợi dây rất dài với tốc độ 1m/s và chu kì 0,5s. Sóng cơ này có bước sóng là
-
Bước sóng λ = vT = 0,5m = 50 cm
50/Tia X


Bước sóng λ = v/f = 0,5 cm
a/ Nhấn nút ON OFF để bật nguồn của đồng hồ.





